Nama:Oky prasetya laia
Teknik:Informatika
Kelas:Malam
UTS Kalkulus
Soal
Jawaban
1. 10x+1>8x+5
10x-8x>5-1
2x >4
X>4/2
X>2
Maka ketidaksamaannya adalah x>2
2. 2x²-5x-3<0
(2x+1)(x-3)<0
(2x+1)=0
X=-1/2
(X-3)=0
X =3
X>-1/2 atau x<3
Hp ={x|-1/2<x<3}
3. f(z)=√2z+3
2x+3>0
2z>-3
Z >-3/2
Df=({z|z>-3/2,z€R})
4. |3x+1|<2|x-6|
3x<6-9
3x<-3
X<-3/3
X<-1
|3x+2|x-6
3x<-6-3
3x<3
X<1
5. (fog) (x) = f(g(x))
2x+1=x+2
2x+1=g(x)+2
2x+1-2=g(x)
2x-1=g(x)
6.y=2x²-4x-2
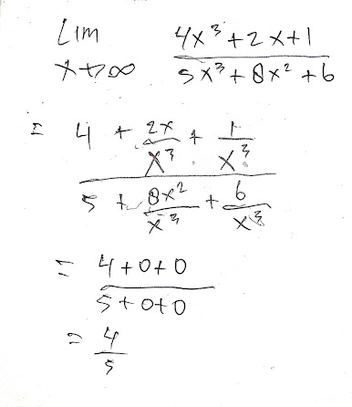
7.hitung limit
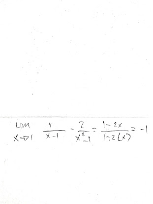
8.hitung limit
9.
10. fungsi f(x) ;4t-8/t-2
Maka 4(t-2)/t-2=4
Fungsi tersebut tidak kontinu dikarenakan
LimitX=2hasil nya 0 dan t tidak sama dengan 2,maka untuk agar bisa kontinu dijabarkan menjadi
f(2)=4(t-2)/t-2=4
f(2)=4



